Penurunan Tarif Batas Atas Tiket Pesawat Berlaku Hari Ini, Simak Daftarnya
JAKARTA, iNews.id - Mulai hari ini penurunan tarif batas atas (TBA) tiket pesawat mulai berlaku setelah ditandatangani pada 15 Mei lalu. Hal ini guna menurunkan tarif tiket pesawat yang dinilai mahal untuk mengantisipasi mudik Lebaran.
Direktur Jenderal Perhubungan Udara Kementerian Perhubungan Polana B Pramesti mengatakan, pihaknya memberikan waktu dua hari untuk maskapai menyesuaikan tarif tiketnya sesuai dengan ketentuan yang berlaku. Dengan demikian, hari ini mulai bisa dilaksanakan.
"Badan usaha niaga berjadwal harus melakukan penyesuaian paling lambat dua hari sejak diputuskan keputusan menteri," ujarnya belum lama ini.
Adapun penurunan TBA tiket pesawat sebanyak 12 persen untuk rute-rute ramai seperti di daerah Jawa. Sementara, penurunan sebanyak 16 persen dilakukan pada rute-rute seperti penerbangan ke Jayapura.
Aturan TBA baru ini tertuang dalam Keputusan Menteri (KM) Perhubungan Nomor 106 Tahun 2019 tentang Tarif Batas Atas Penumpang Pelayanan Kelas Ekonomi Angkutan Udara Niaga Berjadwal Dalam Negeri yang menggantikan KM 72 tahun 2019 tentang Tarif Batas Atas Penumpang Pelayanan Kelas Ekonomi Angkutan Udara Niaga Berjadwal Dalam Negeri.
Aturan ini mengatur seluruh kelas penerbangan pesawat ekonomi rute domestik. Yang meliputi, kelas full service, medium service, dan low cost carrier (LCC).
Apabila terdapat maskapai yang tidak mengikuti atau melanggar aturan ini terhitung Sabtu (18/5/2019) maka Kemenhub siap memberikan sanksi sesuai dengan aturan yang berlaku.
"Apabila tidak dipatuhi maka akan diberlakukan peringatan, kami mempunyai peraturan menteri (PM) nomer 78 tahun 2017, tentang sanksi administrasi," kata Polana di kantornya, Jakarta, Kamis (16/5/2019).
Dalam pasal 11 PM Nomor 78 Tahun 2017 tertulis tiga mekanisme sanksi kepada maskapai yang melanggar aturan. Tahapan pertama Kemenhub akan memberikan peringatan, kedua pembekuan, ketiga pencabutan atau denda administrasi.
"(Sanksi) ada mekanismenyan dimulai peringatan, kemudian pembekuan, pencabutan, kemudian denda administrasi," ucap dia.
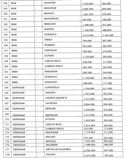
Berikut daftar tarif batas atas dan tarif batas bawah yang diturunkan berdasarkan aturan yang baru:


















Editor: Ranto Rajagukguk