5 Contoh Hukum Pascal di Kehidupan Sehari-hari, Pengertian dan Rumusnya
Rabu, 01 Maret 2023 - 14:53:00 WIB
JAKARTA, iNews.id - Contoh hukum Pascal dalam kehidupan sehari-hari ada banyak macamnya. Agar semakin paham, pelajari informasi terkait pengertian hingga rumusnya di sini.
Melansir buku 'Bahas Total Fisika SMA' terbitan KAWAHmedia, bunyi hukum Pascal adalah sebagai berikut:
"Tekanan yang diberikan kepada zat cair di dalam ruang tertutup diteruskan sama besar ke segala arah (merata)."


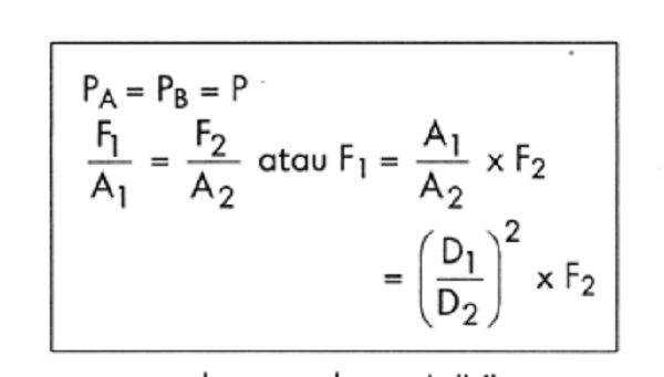
Keterangan:
F1 = gaya pada permukaan A (N)
F2 = gaya pada permukaan B (N)
A1 = luas permukaan A (m2)
A2 = luas permukaan B (m2)
D1 = diameter permukaan A (m)
D2 = diameter permukaan B (m)
Demikian contoh hukum pascal, pengertian dan juga rumusnya. Selamat belajar!
Editor: Puti Aini Yasmin