5 Contoh Soal Eksponen Kelas 10 dan Jawaban Pembahasannya
Senin, 06 Februari 2023 - 16:12:00 WIB
3. Tentukan penyelesaian fungsi eksponen 4"x = 64
Penyelesaian:
4"x = 64

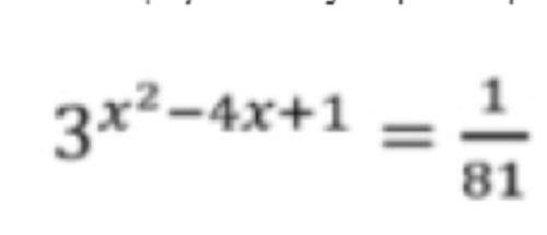
4. Tentukan penyelesaian fungsi eksponen di bawah ini

Penyelesaian:

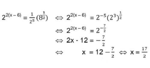
5. Tentukan penyelesaian fungsi eksponen dari soal di bawah ini

Penyelesaian:

Demikian lima contoh soal eksponen yang sering kali muncul ketika pembelajaran matematika di kelas 10. Semoga dapat membantu ya!
Editor: Puti Aini Yasmin