5 Contoh Soal Keseimbangan Pasar dan Kunci Jawaban serta Pembahasannya
Menentukan fungsi penawaran (Qs):
P ‒ 2.000/2.400 ‒ 2.000 = Qs ‒ 100/200 ‒ 100
P ‒ 2.000/400 = Qs ‒ 100/100
400(Qs ‒ 100) = 100(P ‒ 2.000)
4(Qs ‒ 100) = 1(P ‒ 2.000)
4Qs ‒ 400 = P ‒ 2.000
4Qs = P ‒ 2.000 + 400
4Qs = P ‒ 1.600
Qs = P ‒ 1.600/4
Qs = 1/4P ‒ 400
Menghitung harga keseimbangan:
Qd = Qs
‒0,5P + 20 = 1/4P ‒ 400
‒0,5P ‒ 1/4P = ‒400 ‒ 20
‒0,5P ‒ 0,25P = ‒420
‒0,75P = ‒420
P = ‒420/‒0,75 = 560
Jawaban contoh soal keseimbangan pasar : E
2. Dalam suatu pasar diketahui fungsi permintaan Qd = 445 – 2P, pada saat harga Rp3,00, penawaran barang 75 unit. Ketika harga naik menjadi Rp5,00 penawaran menjadi 85 unit. Besar harga (P) keseimbangan adalah…
A. Rp45,00
B. Rp55,00
C. Rp70,00
D. Rp220,00
E. Rp440,00
Pembahasan :
Tentukan terlebih dahulu persamaan fungsi penawaran Qs dengan menggunakan persamaan garis lurus dibawah ini.
P-P₁P₂-P₁=Q-Q₁Q₂-Q₁
P-35-3=Q-7585-75
P-32=Q-7510

5P – 15 = Q –75
Q = 5P – 15 + 74
Qs = 5P + 60
Harga keseimbangan terjadi saat Qd = Qs sehingga diperoleh hasil sebagai berikut.
Qd = Qs
445 – 2P = 5P + 60
445 – 60 = 5P + 2P
385 = 7P
P = 385/7 = 55
Jawaban contoh soal keseimbangan pasar : B
3. Diketahui fungsi permintaan Qd = 10 – 2P. Pada saat harga barang Rp2,00, jumlah barang yang ditawarkan sebanyak 2 unit sedangkan pada saat tingkat harga Rp4,00, jumlah barang yang ditawarkan sebanyak 6 unit. Maka titik keseimbangan terjadi terletak pada …
A. (2, 4)
B. (3, 4)
C. (3, 5)
D. (4, 2)
E. (4, 3)
Pembahasan :
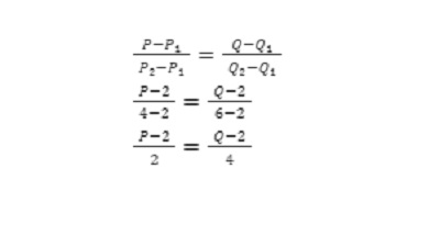
Tentukan terlebih dahulu persamaan Qs dengan cara dibawah ini.
P-P₁P₂-P₁=Q-Q₁Q₂-Q₁
P-24-2=Q-26-2
P-22=Q-24

2P – 4 = Q – 2
Q = 2P – 4 + 2
Qs = 2P – 2
Harga keseimbangan terjadi pada Qd = Qs:
Qd = Qs
10 – 2P = 2P – 2
10 + 2 = 2P + 2P
12 = 4P
P = 12/4 = 3
Jawaban contoh soal keseimbangan pasar : E