Get iNews App with new looks!
Mode Gelap
Advertisement
Aa Text
Share:
Read Next : 35 Soal Bahasa Inggris Kelas 4 Semester 1 Beserta Jawaban
Advertisement . Scroll to see content
Advertisement . Scroll to see content

JAKARTA, iNews.id - Contoh soal matriks dan pembahasan jawabannya berikut ini bisa jadi referensi belajar siswa baik di sekolah maupun rumah. 

Mengutip Sulasmono, dalam buku Contekan Rumus Matematika - Paling Lengkap untuk SMA, pengertian matriks merupakan susunan sekelompok bilangan dalam suatu jajaran berbentuk persegi panjang yang diatur berdasarkan baris dan kolom dan diletakkan antara dua tanda kurung.

Agar lebih memahami materi tersebut, berikut contoh soal matriks dan pembahasan jawabannya dilansir dari berbagai sumber, Selasa (10/9/2024). 

Contoh Soal Matriks 

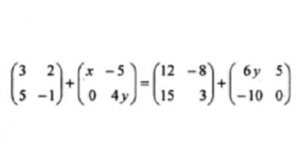
1. Soal Nomor 1 Matriks Operasi Penjumlahan

Contoh Soal 1
Contoh Soal 1


 
Nilai x yang memenuhi persamaan berikut ini adalah… 
Jawaban :

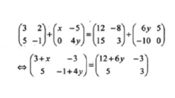
Soal 1
Jawaban 1


-1 + 4y = 3 ⇔ y = 1
y = 1 → 3 + x = 12 + 6y
             3 + x = 12 + 6(1)
              x = 15
Maka, nilai x yang memenuhi persamaan diatas adalah 15.

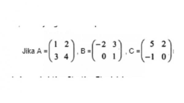
2. Contoh Soal Matriks Operasi Pengurangan

Soal 2
Soal 2

maka bentuk yang paling sederhana dari (A + C) - (A + B) adalah…

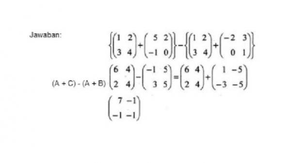
Jawaban 2
Jawaban 2


3. Contoh Soal Matriks Operasi Perkalian

Soal 3
Soal 3

4. Contoh Soal Matriks Operasi Perkalian

Soal 4
Soal 4


5. Contoh Soal Transpose Matriks

Soal 5
Soal 5

2a = 4 ⇔ a = 2
 a = 2 → 2b = 4a + 2
  ⇔ 2b = 4(2) + 2
  ⇔ b = 5
 b = 5 → 3c = 2b + 14
  ⇔ 3c = 2(5) + 14
  ⇔ c = 8
 Maka, nilai c adalah 8.

6. Contoh Soal Matriks Identitas

Soal 6
Soal 6


7. Contoh Soal Matriks Operasi Aljabar

Soal 7
Soal 7


8. Contoh Soal Transpose Matriks

Soal 8
Soal 8

9. Contoh Soal Matriks Operasi Perkalian

Soal 9
Soal 9


10. Contoh Soal Matriks Operasi Perkalian

Soal 10
Soal 10

Itulah ulasan mengenai contoh soal matriks dan pembahasan jawabannya. Semoga bermanfaat!

Editor: Puti Aini Yasmin

Follow WhatsApp Channel iNews untuk update berita terbaru setiap hari! Follow

Related News

 
iNews Network
Kami membuka kesempatan bagi Anda yang ingin menjadi pebisnis media melalui program iNews.id Network. Klik lebih lanjut