Get iNews App with new looks!
inews
Advertisement
Aa Text
Share:
Read Next : 35 Soal Bahasa Inggris Kelas 4 Semester 1 Beserta Jawaban
Advertisement . Scroll to see content

Contoh Soal Titik Berat, Lengkap dengan Pembahasan dan Jawaban

Jumat, 16 Februari 2024 - 18:10:00 WIB
Contoh Soal Titik Berat, Lengkap dengan Pembahasan dan Jawaban
Contoh Soal Titik Berat (Foto: Istimewa)
Advertisement . Scroll to see content

Bidang II (segitiga)
A2 = ½ (8 x 3) = 12
x2 = 6 – (⅓ × tinggi segitiga) = 6 – (3/3) = 5
y2 = 4

Sehingga:

Gambar 3
Gambar 3

Dengan demikian koordinat titik berat bidang yang diarsir adalah (7/3 , 4)

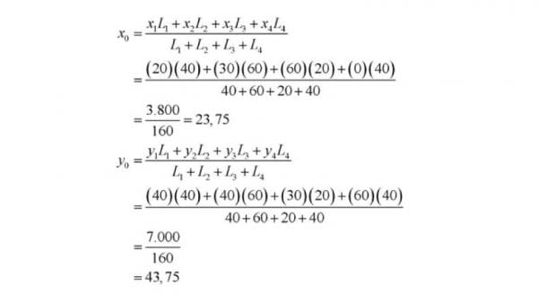
2. Empat buah kawat disusun seperti gambar berikut.

Gambar 4
Gambar 4

Tentukan letak titik berat kawat tersebut!

Pembahasan:
Oleh karena ada 4 kawat, maka kamu harus menentukan L1, L2, L3, dan L4. Ingat, benda berbentuk kawat termasuk benda satu dimensi, sehingga titik beratnya terwakili oleh panjang benda. Dengan demikian, diperoleh:

L1 = 40 cm
L2 = 60 cm
L3 = 20 cm
L4 = 40 cm

Selanjutnya, tentukan koordinat x1– x4 dan y1 – y4.

x1 = 20 y1 = 40
x2 = 30 y2 = 40
x3 = 60 y3 = 30
x4 = 0            y4 = 60

Lalu, tentukan koordinat titik beratnya dengan rumus berikut.

Gambar 5
Gambar 5

(Gambar 5)

Jadi, koordinat titik beratnya adalah (23,75; 43,75).

3. Diketahui bangun seperti berikut.

Gambar 6
Gambar 6

Tentukan letak titik berat bangun di atas terhadap alasnya!

Pembahasan:
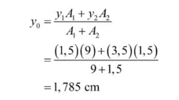
Bangun di atas merupakan bangun gabungan antara persegi dan segitiga sama sisi. Mula-mula, tentukan dahulu luas persegi dan luas segitiganya.

A1 (persegi) = 3 x 3 = 9 cm2 
A2 (segitiga) = 1/2 x 3 x 1 = 1.5 cm2

Lalu, tentukan y1 dan y2 bangun di atas.
y1 = 1,5 cm y2 = 0,5 + 3 = 3,5 cm

Dengan demikian :

Gambar 7
Gambar 7

Jadi, titik berat bangun terhadap alasnya adalah 1,785 cm.


Itulah beberapa contoh soal titik berat. Selamat belajar.

Editor: Komaruddin Bagja

Follow WhatsApp Channel iNews untuk update berita terbaru setiap hari! Follow
iNews.id
iNews Network
Kami membuka kesempatan bagi Anda yang ingin menjadi pebisnis media melalui program iNews.id Network. Klik lebih lanjut