Rumus Percepatan Fisika: Rata-rata dan Sesaat
Minggu, 23 Oktober 2022 - 15:16:00 WIB
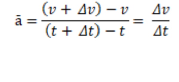
Percepatan rata-rata merupakan hasil bagi perubahan kecepatan dengan perubahan waktu. Dari definisi tersebut, kita dapat mengetahui rumus percepatan rata-rata yaitu :

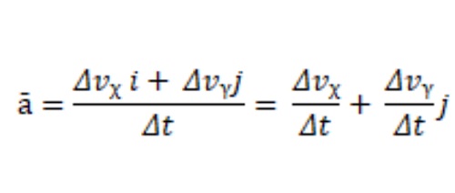
Karena Δt merupakan besaran skalar dan Δv merupakan besaran vektor, maka percepatan rata-rata merupakan suatu vektor yang searah dengan vektor Δv. Dengan menuliskan komponen-komponennya, maka rumus percepatan menjadi :

Percepatan rata-rata juga dapat dituliskan sebagai berikut :
ā= aᵪī + aᵧĵ
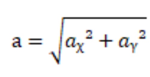
Besar percepatan rata-rata adalah sebagai berikut :

Arah percepatan rata-rata dapat ditulis sebagai berikut :
