5 Contoh Soal Permutasi Beserta Pembahasan Jawabannya
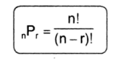
2. Permutasi n elemen diambil dari r sekaligus
Rumus :

Keterangan
P = permutasi
n = jumlah benda
r = jumlah benda yang dipilih
Contoh soal permutasi:
Tentukan banyaknya Permutasi yang terjadi jika akan disusun tiga huruf yang diambil dari abjad A,B,C,D,E !
Jawab :

Jadi, banyaknya permutasi adalah 60.
3. Permutasi n elemen dengan beberapa elemen yang sama.
Jika diketahui ada k unsur yang sama maka banyaknya permutasi dapat ditulis sebagai berikut:

Keterangan :
P = Permutasi
n! = Jumlah benda faktorial
k! = Unsur yang sama faktorial
Contoh soal permutasi:
Tentukan banyaknya permutasi yang terjadi pada kata EMBER !
Jawab:

Jadi, Permutasi yang terjadi sebanyak 60.