7 Contoh Soal Aljabar SMP Beserta Jawaban dan Pembahasan Materinya
JAKARTA, iNews.id - Contoh soal aljabar SMP mesti diketahui agar bisa menjawab soal dalam ujian. Berikut materi dan jawabannya secara lengkap untuk kalian pelajar sendiri di rumah.
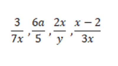
Pecahan bentuk aljabar adalah suatu pecahan dengan pembilang atau penyebut pada keduanya membuat variabel (bentuk aljabar). Contoh pecahannya adalah sebagai berikut:
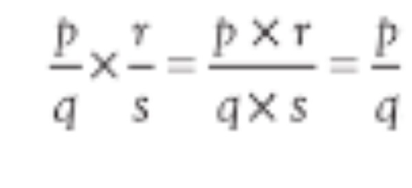
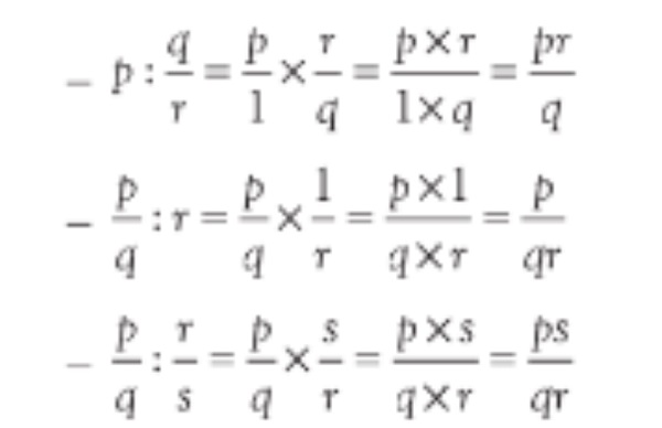
Sebelum belajar contoh soal aljabar, ketahui macam-macam operasi hitung pada pecahan bentuk aljabar. Di antaranya adalah penjumlahan, pengurangan, perkalian dan pembagian. Operasi hitung bilangan aljabar dapat ditulis seperti contoh di bawah :
1. Pecahan Aljabar Penjumlahan
11 Contoh Soal Bilangan Bulat Matematika Beserta Pengertian, Rumus dan Sifatnya

2. Pecahan Aljabar Pengurangan
3. Pecahan Aljabar Perkalian
5 Contoh Soal Limit Fungsi Aljabar Lengkap dengan Pembahasannya, Yuk Latihan!

4. Pecahan Aljabar Pembagian