Rumus Persamaan Kuadrat Beserta Pengertian, Contoh Soal dan Penjelasannya
Jumat, 04 November 2022 - 18:13:00 WIB
Rumus Persamaan Kuadrat

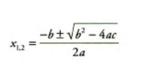
Dua akar persamaan kuadrat tersebut sering ditulis dengan

Contoh soal :
Tentukan himpunan penyelesaian persamaan kuadrat berikut dengan rumus kuadrat, yaitu x2 - 4x - 5 = 0
Penyelesaian dengan rumus persamaan kuadrat:
Koefisien suku-suku persamaan kuadrat x2 - 4x - 5 = 0 adalah a = 1, b = 4, dan c = -5
(foto rumus persamaan kuadrat)
-> x1 = 2 -3 atau x2 = 2 + 3
-> x1 = -1 atau x2 = 5. Jadi, himpunan penyelesaiannya adalah (-1,5)
Itulah beberapa rumus persamaan kuadrat beserta dengan contoh soal yang dapat kalian pelajari di rumah dengan sendirinya. Semoga bermanfaat
Editor: Puti Aini Yasmin