Get iNews App with new looks!
Mode Gelap
Advertisement
Aa Text
Share:
Read Next : 35 Soal Bahasa Inggris Kelas 4 Semester 1 Beserta Jawaban
Advertisement . Scroll to see content

5 Contoh Soal Jarak Titik ke Garis yang Bisa Dipelajari Siswa 

Rabu, 31 Juli 2024 - 16:16:00 WIB
5 Contoh Soal Jarak Titik ke Garis yang Bisa Dipelajari Siswa 
Contoh soal jarak titik ke garis (Foto: Istimewa)
Advertisement . Scroll to see content

Pembahasan:

Perhatikan gambar berikut.

41

Oleh karena EQ tegak lurus BD,maka berdasarkan gambar di atas, jarak antara titik E ke diagonal bisa dirumuskan sebagai berikut.

42

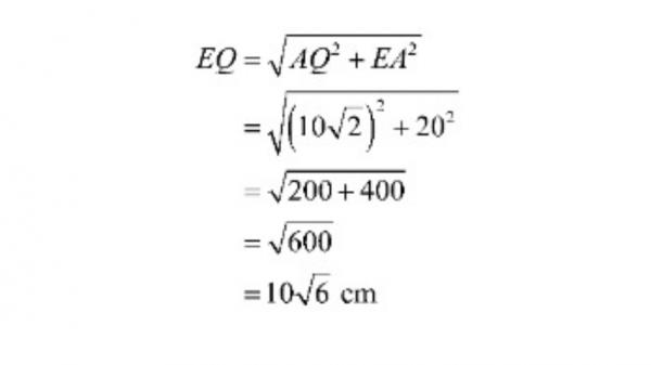
Pada  segitiga EQA, siku-siku berada di A, sehingga panjangnya EQ bisa ditentukan seperti berikut.

43

Jadi, jarak antara titik E ke diagonal BD adalah 10√6 cm.

5. Contoh Soal 5

Perhatikan gambar berikut.

51

Tentukan jarak antara titik S ke garis CD!

Pembahasan:

Perhatikan sisi CDHG berikut.

52

Berdasarkan gambar di atas, titik S diproyeksikan terhadap garis CD hingga terbentuk titik S’. 

Sementara itu, jarak antara titik S ke garis CD sama dengan panjang garis SS’. 

Oleh karena garis SS’ sejajar dengan rusuk kubus ABCD.EFGH, maka panjang SS’ = panjang rusuk kubus ABCD.EFGH = 8 cm.

Jadi, jarak antara titik S ke garis CD adalah 8 cm.

Itulah ulasan mengenai contoh soal jarak titik ke garis. Semoga bermanfaat!

Editor: Komaruddin Bagja

Follow WhatsApp Channel iNews untuk update berita terbaru setiap hari! Follow

Related News

 
iNews Network
Kami membuka kesempatan bagi Anda yang ingin menjadi pebisnis media melalui program iNews.id Network. Klik lebih lanjut